Certified Staff Pay Scale

Aug 22, 2025

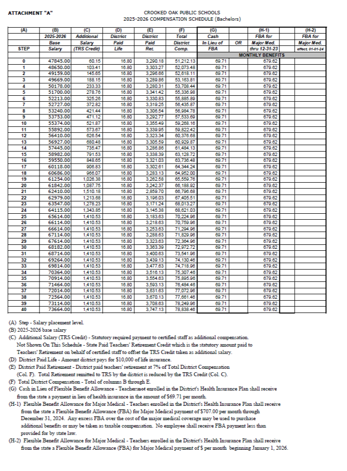
ATTACHMENT "A" 2025-2026 Salary it) District Paid STEP 0 1 2 5 10 111121341415 16 17 18 19 21 22 23 24 25 2032230383리: 30380: 39 40 60.15 103.41 145.65 188.15 233.33 278.76 325.26 372.82 421.44 471.12 521.87 573.67 626.54 680.48 735.47 791.53 848.65 906.83 966.07 1,026.38 1,087.75 1,510.18 1,213.68 1,278.23 1,343.85 1,410.53 1,410.53 1,410.53 1,410.53 1,410.53 1,410.53 1,410.53 1,410.53 1,410.53 1,410.53 1,410.53 1,410.53 1,410.53 1,410.53 1,410.53 1,410.53 CROOKED OAK PUBLIC SCHOOLS 2024-2025 COMPENSATION SCHEDULE (Bachelors) (F) 16.80 16.80 16.80 16.80 16.80 16.80 16.80 16.80 16.80 16.80 16.80 16.80 16.80 16.80 16.80 16.80 16.80 16.80 16.80 16.80 16.80 16.80 16.80 16.80 16.80 16.80 16.80 16.80 16.80 16.80 16.80 16.80 16.80 16.80 16.80 16.80 16.80 16.80 16.80 16.80 16.80 District Paid Ret 3,220.18 3,233.27 3,226.66 3,219.86 3,210.31 3,271.42 3,260.83 3,249.25 3,236.54 320277 3,269.95 3,253.34 3,235.59 3,216.86 3,268.39 3,251.03 3,232.61 3,213.13 3, 192.58 3,172.37 2,789.70 3,126.03 3,101.24 3,075.38 3,113.63 3,148.63 3,183.63 3,218.63 3,253.63 3,293.39 3,330.63 3,369.13 3,407.63 3,446.13 3,484.63 3,523.13 3,561.63 3,600.13 3,638.63 3,677.13 Total Districi Comp 50, 142.13 51,003.48 51,548.11 52,093.81 52,638.44 54,266.98 54,815.89 55,365.87 55,914.78 56,463.69 58, 198.16 58,752.42 59,306.68 59,859.87 60,414.13 62,058.72 62, 666.48 63,274.24 63,882.00 64,489.76 65,118.92 65,726.68 66,535.51 66,943.27 67,551.03 69,154.96 69,689.96 70,224.96 70, 759.96 71,294.96 71,902.72 72,471.96 73,060.46 73,648.96 74,237.46 74,825.96 75,414.46 76,002.96 76,591.46 77,179.96 77,768.46 (A) Step - Salary placement level. (B) 2024-2025 base salary (C) Additional Salary (TRS Credit) - Statutory required payment to certified staff as additional compensation. Not Shown On This Schedule - State Paid Teachers' Retirement Credit which is the statutory amount paid to Teachers' Retirement on behalf of certified staff to offset the TRS Credit taken as additional salary. (D) District Paid Life - Amount district pays for $10,000 of life insurance. (E) District Paid Retirement - District paid teachers' retirement at 7% of Total District Compensation (Col. F). Total Retirement remitted to TRS by the district is reduced by the TRS Credit (Col. C). (F) Total District Compensation - Total of columns B through E. (G) Cash in Lieu of Flexible Benefit Allowance - Teachersnot enrolled in the District's Health Insurance Plan shall receive from the state a payment in lieu of health insurance in the amount of $69.71 per month. (H-1) Flexible Benefit Allowance for Major Medical - Teachers enrolled in the District's Health Insurance Plan shall receive from the state a Flexible Benefit Allowance (FBA) for Major Medical payment of $679.62 per month through December 31, 2024. Any excess FBA over the cost of the major medical coverage may be used to purchase additional benefits or may be taken as taxable compensation. No employee shall receive FB A payment less than provided for by state law. (H-2) Flexible Benefit Allowance for Major Medical - Teachers enrolled in the District's Health Insurance Plan shall receive from the state a Flexible Benefit Allowance (FBA) for Major Medical payment of $ per month beginning January 1, 2025.

ATTACHMENT "A" CROOKED OAK

ATTACHMENT "A" CROOKED OAK